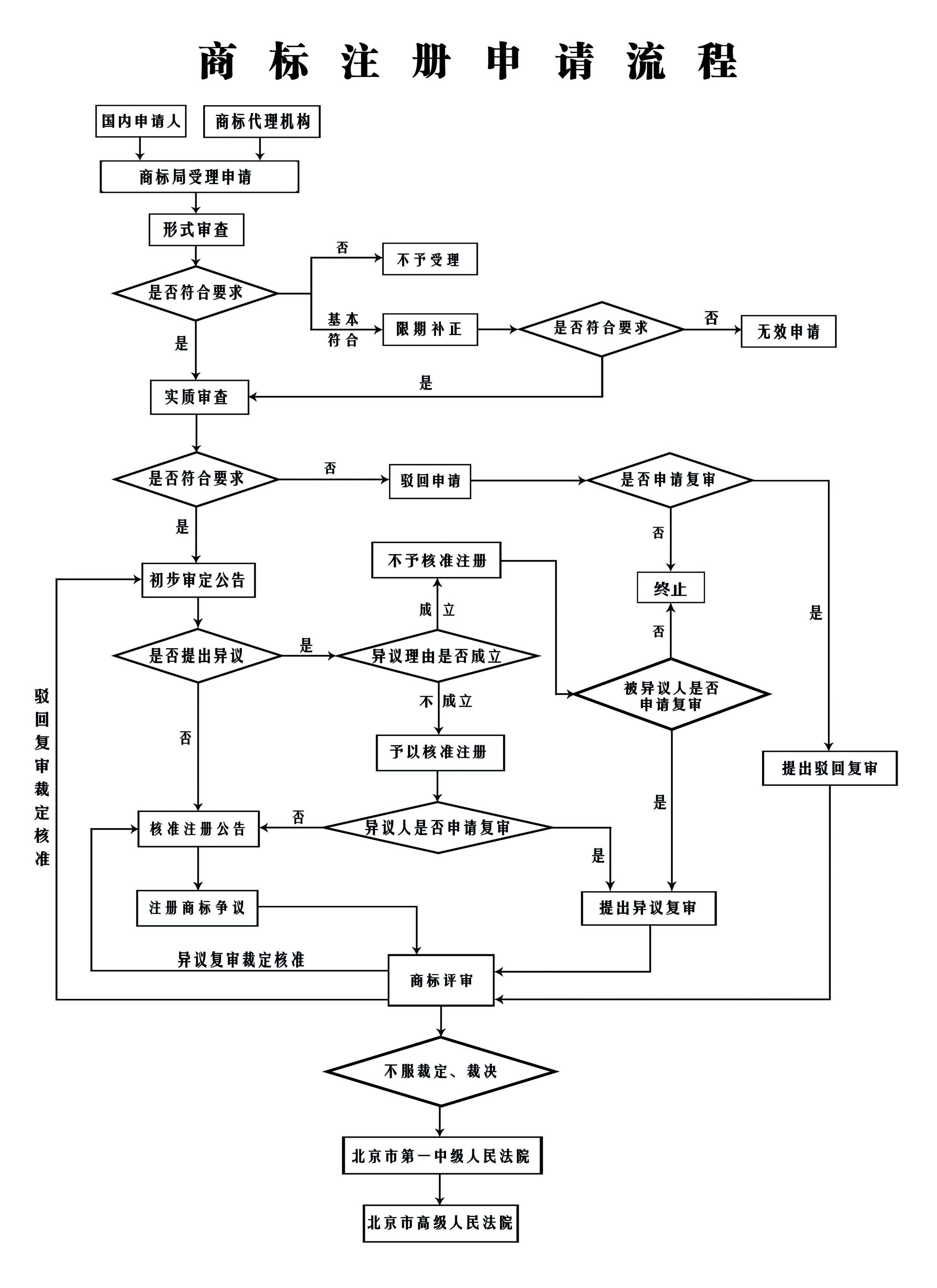
商标注册的步骤如下。
1、确定商标名称和类别:确定想要注册的商标名称和商标类别,确保名称符合商标注册要求,并且所选类别能够覆盖自己的业务范围。
2、查询商标是否可用:在商标局官网进行商标查询,确认所选商标名称没有被他人注册或使用,这一步非常重要,因为相同或近似的商标是无法注册的。

3、准备注册材料:准备商标注册申请书和相关证件,如营业执照或个人身份证等。
4、提交申请:可以选择线上或线下提交商标注册申请,线上提交可以通过商标局官网或专业代理机构进行,线下提交则需要前往商标局受理大厅办理。
5、商标审查:商标局收到申请后,会进行形式审查和实质审查,形式审查主要检查申请材料是否齐全,实质审查则涉及商标是否符合注册要求以及是否存在相同或近似的在先权利商标。
6、公示期:通过审查后,商标会进入公示期,供公众提出异议。

7、注册成功:公示期结束后,如果无人提出异议或异议被驳回,商标将被正式注册并公告。
8、领取证书:商标局会向商标注册人颁发商标注册证书。
需要注意的是,商标注册过程中可能存在风险,建议寻求专业代理机构的帮助来提高注册成功率,不同国家或地区的商标注册流程和要求可能有所不同,需要根据具体情况进行相应的调整。
TIME
